Объектом оценки являются исключительные права на интеллектуальную собственность — ноу-хау "Общепланетарное транспортное средство Юницкого" (ОТС Юницкого).
Ноу-хау "Общепланетарное (общепланетное) транспортное средство Юницкого" — это геокосмический транспортно-инфраструктурный комплекс многоразового использования для безракетного освоения ближнего космоса с целью создания и функционирования околоземной космической индустрии в будущем.
Объект оценки является комплексным, включающим в себя тысячи элементов, компонентов, узлов, блоков, агрегатов, оборудования, технологий и инструментов, как основных, так и вспомогательных, — машиностроительных, индустриальных, строительных, инфраструктурных (в том числе создание линейных городовна планете для проживания в достойных условиях миллиардов человек, и космических поселений на орбите для проживания миллионов человек в условиях, более комфортных, чем на Земле), коммуникационных (в том числе создание коммуникационной — транспорт + энергетика + связь — сети Транснет на базе прорывной технологии SkyWay), сельскохозяйственных (в том числе создание плодородных почв и гумуса для космических поселений), энергетических (в том числе создание нового типа электростанций, как земных, так и космических), информационных, социальных, финансовых, земных и космических, иных, — а также их конструктивные, технологические и эксплуатационные особенности и ноу-хау, который вобрал в себя результаты более чем 40-летней интеллектуальной, творческой, научной, экспериментальной и производственной деятельности инженера, ученого и предпринимателя Анатолия Юницкого, подтвержденной многочисленными патентами на изобретения (более 150), множеством научных работ (более 100) и монографий (более 20 шт. ), научно-популярных статей(более 200), технических, технологических, конструктивных и инженерных ноу-хау (более 100) и прочих результатов интеллектуальной деятельности автора и владельца этой интеллектуальной собственности.
С юридической точки зрения объект оценки является интеллектуальными правами на результаты интеллектуальной деятельности и приравненные к ним средства индивидуализации (результаты интеллектуальной деятельности и средства индивидуализации), которые включают исключительное право, являющееся имущественным правом.
2. Предпосылки создания объекта оценки
Проект ОТС разработан Юницким А.Э. (автором) более 40 лет назад и за это время многократно исследован и проверен расчётными методами, которые подробно изложены в его научно-популярных публикациях ("Пересадочная, космическая, кольцевая" в научно-популярном журнале "Изобретатель и рационализатор", № 4, 1982 г.; "В космос ... на колесе" в научно-популярном журнале "Техника — молодёжи", № 6, 1982 г.; "Спасательный круг планеты" в общественно-политическом бюллетене "Век ХХ и мир", № 5, 1987 г. и др.) и в научных монографиях ("Струнные транспортные системы: на Земле и в космосе" — Гомель: "Инфотрибо", 1995 г. — 337 с.: ил.; "Струнные транспортные системы: на Земле и в космосе" — Минск: "Беларуская навука", 2017 г. — 379 с. — ISBN 978-985-08-2162-1; и др.), в том числе самостоятельное развитие получила самая затратная часть проекта ОТС — транспортно-коммуникационная эстакада, охватывающая планету в плоскости, параллельной экватору, которую автор развивает в настоящее время как самодостаточный продукт, отпочковавшийся от ОТС под брендом "SkyWay" — наземные транспортно-инфраструктурные грузовые, городские и междугородные высокоскоростные комплексы, демонстрационно-сертификационный центр которых создан в 2015—2018 гг. в г. Марьина Горка, Республика Беларусь.
3. Обоснование необходимости индустриализации ближнего космоса
Планета — для жизни, космос — для индустриальных технологий
Человечество не имеет опыта индустриального освоения околоземного космического пространства. Да и какой должна быть будущая космическая индустрия? Каковы её функции, каковы объёмы и виды вырабатываемой продукции? Где, в основном, будет потребляться эта продукция — в Космосе или на Земле? Вопросов может быть задано множество. И на них невозможно дать однозначные ответы. Всё будет зависеть от тех конкретных путей развития, какие изберёт наша земная цивилизация, вставшая на технократический путь развития десятки тысяч лет назад. При этом мы, ныне живущие, не выбирали в прошлом именно этот путь интеллектуального развития нашей цивилизации, и нам не дано этот вектор изменить в будущем.
Первобытные технологи, выделывающие шкуры и готовившие пищу на костре в своём доме, в 20 лет умирали от рака лёгких. Пока не догадались вынести эти технологии за пределы своего дома — пещеры.
Прошли десятки тысяч лет. И вот современные технологи с ожесточением спорят, в каком из углов одной комнаты нашего общего дома, не имеющей даже перегородок, под названием "Биосфера", нужно строить атомную электростанцию, а в каком — хоронить на тысячи лет её радиоактивные отходы; где плавить миллиарды тонн стали и добывать ещё больше угля, нефти и природного газа, а затем — где и как их сжигать? Где выбрасывать углекислый газ и как "безопасно" разрушать крышу нашего дома — озоновый слой? И получать за это даже Нобелевские премии. Да и вообще, как "экологически чисто" нанести максимальный ущерб не только в углах, но и в самом центре этой большой биосферной комнаты, не спрашивая мнения большинства жильцов общего дома — не только стран "третьего мира", но и тварей бессловесных, под названием "Флора" и "Фауна".
Выход один. Необходимо проявить смекалку и мужество первобытного человека — вынести экологически опасные производства за пределы своего дома. В данном случае — за пределы земной биосферы, в ближний космос. Необходимо разделить в пространстве созданную Богом биосферу и созданную Человеком Разумным техносферу — других мест на планете просто не существует.
В космосе — идеальные условия для самых современных технологий: невесомость и глубокий вакуум. Там круглогодично, днём и ночью, вот уже 5 миллиардов лет работает природный экологически чистый термоядерный реактор под названием "Солнце", который, без всяких побочных эффектов типа "Чернобыль", обеспечит внеземную индустрию энергией на миллионы лет последующего развития. Там бесконечные сырьевые, энергетические, технологические и пространственные ресурсы.
Экологических проблем с биосферных позиций в космосе не будет — мёртвые индустриальные отходы не смогут изменить экологию мёртвой же среды. Даже взрывы сверхновых звёзд, сметающих соседние звёздные системы, — что трудно себе вообразить — там обычное дело. Как и сверхмассивные чёрные дыры, способные поглотить галактику. Да и что в космосе может изменить завод, выплавляющий какой-то миллиард тонн пеностали в год, которая будет легче воды, но будет прочнее обычной стали и прослужит человечеству на Земле без следов коррозии сотни лет? Или завод, производящий несколько тысяч тонн уникальных лекарств, которые могут быть получены только в условиях невесомости?
Объективные причины должны в будущем переместить сферу земного материального производства почти целиком в космос. В то же время человечество, как биологический вид живых организмов на нашей планете, является продуктом нескольких миллиардов лет эволюции именно в земных условиях. Мы идеально подогнаны к земной силе тяжести, земной атмосфере, магнитному и электрическому полю Земли, земной воде и земным продуктам питания и ещё многому другому земному, о чём даже не подозреваем, но без чего не сможем существовать не только сегодня, но и в обозримом будущем. Нигде в нашей огромной Вселенной для нас, землян, не может быть более подходящих условий, чем на нашей прекрасной голубой планете. (Безусловно, освоив космическое пространство, как новую среду обитания с условиями, принципиально отличающимися от земных, часть человечества, пожелавшая жить в космосе, со временем преобразует себя под эти условия. Правда, в отличие от рыбы, в доисторические времена вышедшей на сушу, что, в итоге привело к появлению на планете и человека, космический человек будет эволюционировать сознательно. Но это слишком отдалённая перспектива, которая не поддаётся разумному осмыслению.)
Поэтому основной потребитель продукции космической индустрии, а это миллиарды человек, будет находиться на Земле. Именно по этой причине грузопоток на трассе "Земля — Орбита — Земля" должен составлять миллионы, а со временем — миллиарды тонн грузов в год, если в космосе будет ежегодно производиться хотя бы по 100 килограмм промышленной продукции на душу земного населения.
За всю историю ракетной космонавтики на орбиту, а это в среднем высота 300—400 км, выводилось не более 400—500 тонн грузов ежегодно. Такую же транспортную работу — до 500 тонн в год на расстояние 300 км — на планете выполнит одна лошадь, запряжённая в хорошую телегу. Также, как одна-единственная телега не сможет сегодня обслуживать транспортные нужды более 7 миллиардов человек (для этого попробуем мысленно убрать с планеты весь транспорт, кроме одной телеги), так и в будущем одна-единственная "космическая телега" не сможет обслуживать нужды космической индустрии, завязанной на потребности миллиардов землян. Да и чрезвычайно дорого это будет — при общих затратах, переваливших за 60 лет космической эры за 2 триллиона долларов (телега, выполненная в виде бриллианта, стоила бы значительно дешевле), доставка тонны груза на орбиту ракетоносителями обходится дороже 10 млн USD. Тем более, уже подсчитано, что порядка 100 запусков в год тяжёлых ракетоносителей типа американского "Спейс Шаттла" (а это не более 2 000 тонн грузов в год) приведут к необратимым негативным экологическим изменениям, в том числе и в озоновом слое планеты. Не лучше в этом плане и российский ракетоноситель "Протон-М", заправленный сотнями тонн высокотоксичного топлива (гептил) — более ядовитого вещества, чем, например, цианистый калий.
Не спасёт положение и "космический лифт", разрабатываемый в наши дни специалистами американского космического агентства НАСА (идея лифта принадлежит российскому учёному К. Циолковскому и российским инженерам Ю. Арцутанову и Г. Полякову). Самонесущий лифт-трос длиной более 40 тыс. км и массой не менее 1 млн тонн из сверхпрочного материала (прочнее стали в сотни раз), закреплённый на экваторе планеты одним концом, сможет ежегодно доставлять на орбиту не более 2,5 тыс. тонн различных грузов. То есть это будет всего 5 "космических телег", таких же баснословно дорогих — "бриллиантовых".
Мы не знаем, каким образом будет развиваться техника в будущем, в том числе и космическая, как не знаем и грядущих открытий. Подобные предсказания — неблаговидная, да и, в общем-то, бессмысленная затея. Чтобы убедиться в сказанном, достаточно вспомнить наивные научные прогнозы 50-ти или 100-летней давности. Единственное, что можно утверждать с полной уверенностью, — какой бы эта техника ни была, она будет подчиняться фундаментальным законам физики нашего реального мира (а не виртуального голливудского). Такие законы, многократно проверенные практикой, останутся справедливыми и в будущем. В области механики к их числу относятся четыре закона сохранения, к которым могут быть сведены все остальные частные законы сохранения, а именно: энергии, импульса, момента импульса и движения центра масс системы. По этим законам спроектирован весь современный транспорт — телеги, велосипеды, автомобили, поезда, корабли, самолёты, вертолёты, ракеты. И будущий космический транспорт не станет исключением.
4. Количественные и качественные характеристики объекта оценки
4.1. Общая характеристика ОТС
Оптимизация космической транспортной системы, исходя из фундаментальных законов физики, привела инженера Анатолия Юницкого в 1977 г. к созданию идеального решения — Общепланетарного (общепланетного) транспортного средства (ОТС).
Ноу-хау "Общепланетарное (общепланетное) транспортное средство Юницкого" — это геокосмический транспортно-инфраструктурный комплекс многоразового использования для безракетного освоения ближнего космоса с целью создания и функционирования околоземной космической индустрии в будущем.
Инженером Юницким А.Э. разработаны принципиально новые:
- общепланетарное транспортное средство, включая принцип действия, основанный на выполнении основных законов сохранения (энергии, импульса, момента импульса и др.), компоновочную структуру и связи между узлами и компонентами;
- динамику выхода ОТС в космическое пространство в экваториальной плоскости Земли и возможности его маневрирования относительно плоскости экватора;
- устройство и принцип действия ускорителя для разгона ротора ОТС в вакуумном канале;
- линейный электродвигатель для разгона ротора до космических скоростей;
- стартовая эстакада вокруг планеты для прохождения по суше и по морю, совмещённая с высокоскоростным наземным транспортом, в том числе в специально выполненной форвакуумной трубе;
- социальные, экономические, финансовые, ресурсные, геополитические и философские аспекты по обоснованию неизбежности вынесения экологически опасной составляющей земной индустрии на околоземную орбиту и переходу земной технократической цивилизации на новый этап постиндустриального развития — космический этап — с широкомасштабным использованием космических технологических возможностей (невесомость, глубокий вакуум и др.), а также пространственных, энергетических, сырьевых и иных ресурсов;
- научное обоснование того, что у земной технократической цивилизации уже сегодня есть все необходимые ресурсы для реализации этого самого амбициозного проекта за всю историю человечества (а именно: финансы, технологии, материалы, конструкции, узлы и оборудование, энергетические мощности и др.), но отсутствует воля и понимание необходимости и неизбежности этого шага по спасению цивилизации от техносферы, занявшей ту же нишу, что и биосфера, поэтому деградация последней, вплоть до полного уничтожения, в том числе и её человеческой (биологической) составляющей, неизбежна;
- обоснование того, что до точки невозврата земной технократической цивилизации осталось 2—3 поколения, после чего её деградацию и угасание невозможно будет остановить;
- иное.
Один-единственный самонесущий летательный аппарат (См. научную монографию А. Юницкого "Струнные транспортные системы: на Земле и в Космосе"), выполненный в виде тора с поперечным сечением в несколько метров, охватывающий планету в плоскости, параллельной экватору, сможет выводить за один рейс на орбиту порядка десяти миллионов тонн грузов и десяти миллионов пассажиров (Чтобы выполнить такую же по объёму транспортную работу, которую выполнит всего за один рейс ОТС, современной космонавтике понадобилось бы порядка 100 тысяч лет — то есть запуски первых американских космических челноков должны были начаться в доисторические времена, примерно тогда, когда неандертальцы научились добывать огонь). При стоимости доставки на орбиту до 1 000 USD за тонну. То есть, стоимость пассажирского билета на орбиту будет в пределах 100 USD, при комфорте путешествия, превышающем комфорт в современных поездах.

Рисунок 1. Общепланетарное транспортное средство во время подъёма в космос (вариант)
Общепланетарное транспортное средство — единственное техническое решение, с использованием которого транспортная система способна выводить грузы на различные круговые экваториальные орбиты без использования реактивных двигателей (См., например, статью А. Юницкого "Спасательный круг планеты" в общественно-политическом бюллетене "Век ХХ и мир", № 5 за 1987 год). И единственное решение, где может быть использован самый экологически чистый "принцип барона Мюнхгаузена" для выхода в космос, так как в процессе функционирования ОТС положение его центра масс не меняется в пространстве. Поэтому ОТС может выходить в космос, используя лишь внутренние силы системы, без какого-либо энергетического, механического, химического и др. видов взаимодействия с окружающей средой, то есть будет предельно экологически чистым. Более того, при грузопотоке "Космос — Земля", превышающем обратный грузопоток "Земля — Космос", ОТС сможет функционировать в режиме "вечного двигателя". Избыточной кинетической и потенциальной энергии космического груза, доставляемого на планету, будет достаточно для последующего старта ОТС с планеты на орбиту (Каждая "лишняя" тонна груза, экологически чисто спущенная с орбиты на поверхность Земли, по выработке энергии эквивалентна сжиганию примерно 2 тонн нефти).
Только растянутая нить, имеющая бесконечно малые поперечные размеры по отношению к длине (соотношение1 : 10 000 000) может быть устойчивой самонесущей конструкцией. Поэтому ОТС является разновидностью струнных транспортных технологий — иначе на орбите это "колесо" диаметром более 12 тысяч километров, имеющее в поперечнике размер всего в несколько метров, потеряло бы устойчивость. Именно от этого проекта в том же 1977 г. и "отпочковался" SkyWay — наземный струнный транспорт Юницкого. В процессе оптимизации автору необходимо было упрощать и удешевлять эстакаду, с которой должно было стартовать в космос ОТС. Оптимизация и привела к предварительно напряжённой — растянутой — конструкции эстакады, на которую оставалось только поставить рельсовый автомобиль (юнибус) и снабдить её соответствующими струнными рельсами.

Рисунок 2. Общепланетарное транспортное средство на Земле (вариант)

Рисунок 3. Общепланетарное транспортное средство в космосе (вариант)
4.2. Строительство ОТС
Создание Общепланетарного транспортного средства включает в себя 3 основных направления (этапа), осуществляемые параллельно:
- Научно-исследовательские и опытно-конструкторские работы по:
- стартовой экваториальной эстакаде "5 в 1", совмещённой с транспортной системой SkyWay;
- инфраструктуре — транспортной, логистической, промышленной, жилой, энергетической и информационной;
- общепланетарному транспортному средству;
- транспортно-инфраструктурному и индустриальному комплексу на орбите, включающему новые космические отрасли: промышленную, жилую, энергетическую и информационную.
- Подготовка и создание (строительство) экваториальной стартовой эстакады "5 в 1", совмещённой с транспортной системой SkyWay, а также зданий, сооружений, инфраструктуры (промышленные и жилые комплексы, электростанции, линии электропередач, системы управления и связи, иное).
- Изготовление и монтаж Общепланетарного транспортного средства (протяжённость 40 076 км, общая масса, без полезной нагрузки, — 30 млн тонн), пуско-наладочные работы.
Весь комплекс работ, связанных с созданием ОТС, планируется выполнить за 20 лет — к 2038 году.

Рисунок 4. Общепланетарное транспортное средство,
совмещенное с транспортной системой SkyWay (вариант)
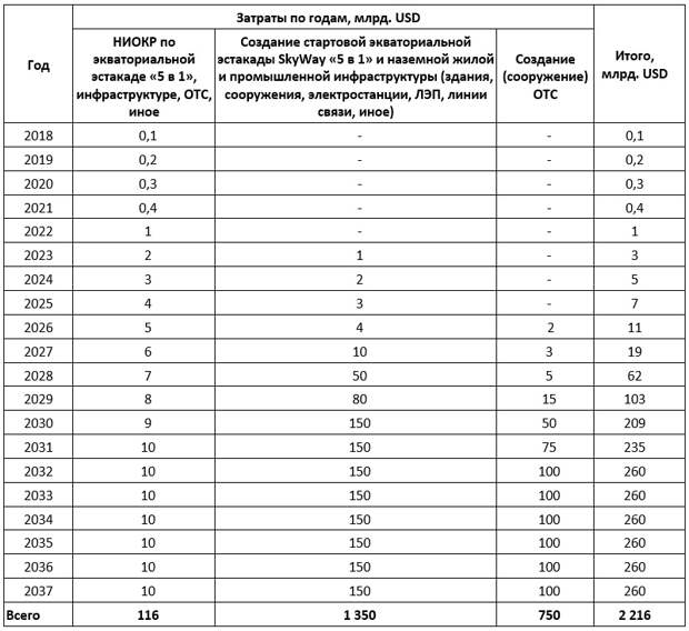
Стоимость создания ОТС и сопутствующих работ по 2037 год включительно представлены в таблице ниже. Следует отметить, что максимум будущих ежегодных затрат, равный 260 млрд USD, приходящийся на период 2032—2037 годы, например, примерно в 2 раза меньше нынешнего годового военного бюджета США. Это также свидетельствует о том, что программу ОТС смогут реализовать в одиночку, исходя из своих бюджетов в эти годы, такие страны, как США, Китай, Россия, Индия и даже Бразилия.
Таблица 1. Стоимость создания ОТС и сопутствующих работ

Общая стоимость строительства ОТС сопоставима с возможными мировыми расходами в 2030 году на традиционные космические программы с использованием ракетоносителей.
4.3. Условия выхода ОТС на околоземную орбиту
Предпосылки
Искусственный спутник Земли, находящийся на орбите высотой h0, имеет первую космическую скорость для данной высоты, и все его элементы находятся в состоянии невесомости.
ОТС, вышедшее на орбиту высотой h0, должно находиться в состоянии равновесия (не подниматься и не опускаться), поэтому, в целом, также должно находиться в состоянии невесомости.
Оптимальным вариантом функционирования ОТС будет тот, в котором все его линейные элементы (охватывающие планету), будут находиться в состоянии невесомости (Возможен вариант, когда элементы имеют вес, противоположно направленный, например, один маховик движется с более высокой скоростью, чем первая космическая, а второй — с меньшей, и они, по вертикали, друг друга уравновешивают). Таким образом, каждый элемент ОТС должен иметь на орбите первую космическую скорость V1.

Рисунок 5. Конструкция ОТС (вариант):
Ленточные маховики 1.1 и 1.2, корпус 3, с находящимися внутри его системами привода 2.1 и 2.2,
и внешние отсеки (капсулы) 4 — пассажирские 4.1 и грузовые 4.2
Поскольку при подъёме ОТС в космос необходимо не только поднять его на высоту h0, но и разогнать его корпус вокруг планеты до первой космической скорости (При том, что во время старта ОТС, лежащее на эстакаде, было неподвижно относительно поверхности Земли, то есть его корпус имел скорость движения (вращения) экваториальных точек планеты — 465,1 м/с), то это станет возможным только при отталкивании от лент маховиков, согласно закону сохранения момента количества движения замкнутой системы (Использование внешних источников импульса для получения орбитальной скорости корпуса, например, реактивных двигателей, неприемлемо с экологической точки зрения).
Предстартовая подготовка ОТС
Перед стартом ОТС линейные маховики 1.1 и 1.2 должны иметь достаточный запас кинетической энергии, чтобы поднять всю систему массой в десятки миллионов тонн на заданную орбиту, с учётом всех последующих потерь энергии:
- аэродинамическое сопротивление на атмосферном участке;
- потери в магнитной подушке и линейных электродвигателях;
- затраты энергии на растяжение (увеличение) длины кольца ОТС по мере набора высоты и увеличения его диаметра;
- затраты энергии на подъём системы (ОТС) на высоту h0;
- потери энергии при обратном спуске на планету (если будет отсутствовать дозаправка энергией на орбите и на этапе спуска);
- иное.
Далее включают систему магнитного подвешивания маховиков, а линейные электродвигатели (привод) ОТС подключают к внешним источникам электрической энергии. Ленты маховиков, не испытывающие сопротивления (они находятся в вакууме), приходят в движение вдоль вакуумного канала, и соответственно, вдоль корпуса, а также — во вращение вокруг планеты с осью вращения, проходящей через центр масс Земли. По мере набора скорости маховики накапливают необходимое количество кинетической энергии и количество движения (момент количества движения), которые необходимы для выхода ОТС на заданную орбиту с заданной орбитальной скоростью (Например, на высоте 300 км в плоскости экватора первая космическая скорость равна 7728 м/с, на высоте 500 км — 7615 м/с).
Здесь проявляется одно из основных преимуществ ОТС, выполненного в виде кольца, охватывающего планету, — бесконечный путь разгона маховиков, то есть бесконечное время зарядки ОТС необходимой энергией. Например, ракета имеет конечный путь разгона (несколько сотен километров) за конечное время (несколько минут), поэтому мощность привода тяжёлой ракеты-носителя (то есть суммарная мощность всех его реактивных двигателей) составляет величину порядка 100 млн лошадиных сил (Трудно себе представить табун лошадей в 100 млн голов), хотя ракета выводит на орбиту за один рейс не более нескольких десятков тонн полезной нагрузки, разгоняя её до первой космической скорости. А теперь представьте себе, что время запитки энергией будет не несколько минут, а несколько суток, то есть в тысячи раз большим. При этом КПД электропривода ОТС будет не менее 95%, то есть в сто раз выше, чем у ракеты (С учётом всех потерь энергии на приготовление топлива (например, жидкого кислорода и жидкого водорода, их охлаждение и поддержание криогенных температур), горение топлива в реактивном двигателе, аэродинамику и др., а также — утерь первых ступеней ракеты-носителя, на производство которых было затрачено много энергии, общее энергетическое КПД ракеты — менее 1%).
Поэтому при той же мощности привода, что и у ракеты (порядка 100 млн киловатт), в космос можно будет выводить за один рейс не тонны, а миллионы тонн грузов, то есть в миллион раз больше (Таким образом, один рейс ОТС заменит миллион запусков тяжёлых ракет типа американских Спейс Шаттлов, хотя уже давно подсчитано, что 60—80 запусков шаттлов в год полностью уничтожат озоновый слой нашей планеты. Иными словами, на то, что способно сделать за один рейс ОТС, ракетной технике понадобится не менее 100 тысяч лет. А поскольку за один год ОТС способно совершить не менее 10 рейсов на орбиту и обратно, то транспортная работа ОТС, при тех же энергетических мощностях, эквивалентна миллиону лет работы традиционного транспортно-космического комплекса всего человечества. То есть, чтобы вынести земную индустрию в космос в 21-ом веке, а это сотни миллионов тонн грузов, Спейс Шаттлы надо было начинать запускать несколько миллионов лет назад, ещё до эпохи неандертальцев).

Рисунок 6. Общепланетарное транспортное средство во время посадки на эстакаду (вариант)
Возможны различные конструктивные и эксплуатационные характеристики ОТС с маховиками различных масс (с равными массами, или один маховик — более тяжёлый, а другой более лёгкий), с различными режимами стартового разгона ленточных маховиков (оба маховика разгоняются на планете либо в одну сторону, либо один — в одну, другой — в другую сторону) и т.д.
В любом случае, когда лента маховика, охватывающая планету, достигнет в вакуумном канале первой космической скорости (На нулевой высоте в плоскости экватора первая космическая скорость равна 7908 м/с, а, например, на высоте 400 км — 7671 м/с), она станет невесомой. При увеличении скорости ленты центробежная сила, действующая по вертикали (то есть от центра Земли по её радиусу), превысит её вес, то есть будет пытаться оторвать её от планеты. Когда центробежные силы от маховиков превысят вес ОТС (например, равный 1000 кгс/м), то вся система станет условно невесомой (Если оба маховика с линейной массой по 250 кг/м каждый (всего 500 кг/м) разогнать до скорости 11184 м/с, то ОТС массой 1000 кг/м (вся масса "колеса" будет равна 40,075 млн тонн, из них 10 млн тонн — масса грузов и пассажиров) станет невесомой), вес ОТС станет равен нулю, то есть он не будет давить на эстакаду. Если разогнать маховики до ещё большей скорости, то появится избыточная подъёмная сила, достаточная для подъёма на заданную орбиту всего комплекса ОТС вместе с полезной нагрузкой.
Для выполнения всей транспортной работы по выходу на заданную орбиту, например, на высоту 500 км, два маховика ОТС, имеющие суммарную снаряжённую массу 20 миллионов тонн (500 кг/м), в общей сложности должны запасти кинетическую энергию в размере 1,25×1018 Дж (примерно 3,5×1011 кВт×час). С учётом потерь и затрат энергии при выходе на орбиту (в частности, из-за КПД линейных электродвигателей порядка 95%), первоначальные запасы энергии должны быть на 15—20% больше, то есть будут равны примерно 1,5×1018 Дж (4,2×1011 кВт×час). Тогда при мощности подключения ОТС во внешнюю энергосистему (энергосистему планеты), равной 100 млн кВт(100 млн кВт составляют сегодня менее 2% мощности-нетто электростанций мира; при этом запитка ОТС может осуществляться, преимущественно, в ночные часы, когда стоимость электроэнергии существенно снижается), или примерно 2,5 кВт на метр длины системы, время первоначальной зарядки геокосмической транспортной системы — разгон ленточных маховиков до расчётной скорости — составит 420 часов (17,5 суток).
После набора расчётной скорости ленточных маховиков ОТС общей массой 40 млн тонн, из которых 20 млн тонн приходятся на маховики, готово к взлёту. Но оно удерживается от подъёма по всей своей длине с помощью специальных стопорных замков, установленных на опорах эстакады. После погрузки грузов и размещения пассажиров в подвесных гондолах замки освобождают корпус по всей его длине, и ОТС ничто больше не удерживает на планете.
Поскольку маховики разогнаны до скоростей, которые обеспечивают превышение центробежных сил над весом каждого погонного метра ОТС, то каждый погонный метр самонесущего транспортного средства, охватывающего планету, начинает перемещаться от центра вращения маховиков, то есть подниматься вертикально вверх в плоскости экватора, проходящей через центр масс Земли. При этом кольцо ОТС будет увеличиваться в диаметре, симметрично во все стороны относительно центра, а его корпус — удлиняться, растягиваться, без какого-либо смещения центра масс этого гигантского кольца, который, согласно закону сохранения, всё время будет совпадать с центром масс планеты.

Рисунок 7. Начало подъёма ОТС в космос на морском участке (вариант)

Рисунок 8. Морской участок стартовой эстакады ОТС:
опоры не доходят до морского дна, удерживаясь наплаву системой подводных поплавков-тоннелей и якорей (вариант)
Ускорение вертикального подъёма в космос зависит от избытка центробежных сил. Например, если подъёмная сила, действующая на каждый погонный метр, будет больше веса каждого погонного метра ОТС на 5%, то его корпус начнёт подниматься вверх с комфортным для пассажиров ускорением 0,5 м/с2, или равным 5% от ускорения свободного падения. При движении с таким ускорением ОТС поднимется (расширится в плоскости экватора) на высоту 100 км через 5 минут 16 секунд и будет иметь скорость вертикального подъёма на этой высоте, равную 570 км/ч.
При подъёме на каждые 100 км над землёй, корпус ОТС должен удлиниться на 1,57% (Соответственно, диаметр ОТС также увеличится на 1,57%), что легко достижимо конструктивными и технологическими решениями, например, телескопическими соединениями по длине между короткими участками корпуса, или пружинными (сильфонными) компенсаторами и другими известными и апробированными в технике приёмами.
После выхода из плотных слоёв атмосферы (на высотах более 10 км) включается на тормозной (генераторный) режим линейный электропривод ленты маховика, разогнанной на земле до космической скорости в направлении вращения планеты. Вырабатываемую при этом электрическую энергию не выбрасывают, а коммутируют на разгон второго ленточного маховика в противоположном направлении. В результате корпус ОТС получает двойной импульс и начинает вращаться в сторону вращения планеты. Если ускорение вращения составят те же комфортные 0,5 м/с2, то корпус и весь груз, прикреплённый к нему (в том числе и пассажиры, размещённые в гондолах), наберут расчётную орбитальную, то есть круговую, скорость, например, равную 7671 м/с (для высоты 400 км) ровно через 4 часа.
Режимы набора высоты и орбитальной скорости подбирают таким образом, чтобы на заданной высоте, например, равной 400 км, ОТС имело орбитальную скорость (то есть 7671 м/с) и находилось в равновесии — его вертикальная скорость была бы равна нулю. Для этого в процессе выхода в космос задействуют, при необходимости, специальную балластную систему. В качестве балласта используют экологически безвредные вещества, например, воду и кислород (сжатый или сжиженный). Если распылять такой балласт в заранее определённом количестве в озоновом слое планеты и выше (высоты от 10 до 60 км), то можно будет регулировать содержание кислорода и озона в верхних слоях атмосферы и залечивать озоновые дыры, а также экологически безопасно управлять погодой и климатом на планете (Озоновый слой задерживает до 4% солнечного излучения, в том числе вредные ультрафиолетовые лучи, и до 20% обратного излучения Земли, утепляя атмосферу и являясь своеобразным одеялом — тепловым резервуаром тепловой энергии в атмосфере. При этом содержание озона в атмосфере крайне мало: например, если бы содержащийся в атмосфере озон находился при атмосферном давлении, то толщина его слоя (приведённая толщина) не превысила бы 3 мм).
После достижения заданной орбиты и стабилизации ОТС по всей своей длине (отсутствие локальных колебаний относительно идеальной орбиты), осуществляют выгрузку грузов и пассажиров в орбитальный кольцевой (охватывающий планету) комплекс.
Грузоподъёмность ОТС — 250 кг/м, или 10 млн тонн. Этого достаточно, чтобы при первом же запуске ОТС начать создание вокруг планеты Земля космического индустриального ожерелья "Орбита" (КИО "Орбита").
4.4. Условия, необходимые для создания КИО "Орбита"
Космическое индустриальное ожерелье "Орбита" — это орбитальный транспортно-инфраструктурный и индустриально-жилой комплекс, охватывающий планету в плоскости экватора на заданной высоте (например, на высоте 400 км) и имеющий соответствующую длину в 42 567 км (для высоты 400 км). Начало строительства КИО "Орбита" — с первого же запуска ОТС.

Рисунок 9. Конструкция фрагмента космического индустриального ожерелья "Орбита" (вариант),
к которому, расширяясь, подлетает слева фрагмент ОТС
Первый же запуск ОТС в космос позволит создать базовый транспортно-инфраструктурный и энерго-информационный комплекс SpaceTransNet (STN), как фундамент для создания на заданной высоте космического индустриального ожерелья "Орбита" (КИО "Орбита"). Внешне "Орбита" будет выглядеть как ожерелье, охватывающее планету в плоскости экватора, в котором "бусинки" — это спаренные грузовые и пассажирские гондолы, доставленные на орбиту, с шагом порядка 500 метров (в количестве около 160 тыс. штук общей массой, вместе с грузом и пассажирами, 10 млн тонн), соединённые друг с другом "нитью" — струнными орбитальными дорогами и другими коммуникациями — энергетическими и информационными. Поскольку на орбите вес — бич наземного транспорта — отсутствует, то струнные дороги вырождаются в предварительно напряжённые струны, выполненные, например, из армированного алюминия (для передачи по ним электрической энергии вдоль орбиты — между заводами и цехами).
Вокруг гондол, как вокруг катализатора, со временем вырастут "кристаллы" — заводы, фабрики, цеха, электростанции и другие индустриальные сооружения, а также жилые космические поселения — ЭкоКосмоДома, в которых будет жить и работать обслуживающий персонал КИО "Орбита". Поперечный размер этих сооружений — до 500 м, чтобы не увеличивать чрезмерно их парусность, которая будет тормозить весь индустриальный комплекс из-за наличия на этой высоте газовой среды, хоть и очень разрежённой (На высоте 400 км об атмосфере можно говорить только условно, поскольку плотность у неё очень низкая: 3×10-12 кг/м3).
КИО "Орбита" включает в себя основные составляющие:
Индустрия
По сравнению с земной индустрией, расположенной на поверхности планеты, космос и околоземное космическое пространство имеют ряд преимуществ.
Во-первых, на орбите будет невесомость, чего нет на планете. Это позволяет производить уникальные материалы, механизмы, оборудование. Например, выплавлять пеносталь, которая будет прочнее обычной стали, но при этом не будет тонуть в воде и не будет подвергаться коррозии.
Во-вторых, на орбите будет глубокий вакуум, который на Земле получить сложнее, чем добыть нефть — кубический метр глубокого вакуума стоит дороже тонны нефти. Вакуум, в сочетании с невесомостью, позволит, например, освоить производство уникальных сверхчистых и сверхпрочных веществ и материалов, в том числе наноматериалов и биопрепаратов.
В-третьих, Космос имеет неограниченные ресурсы — пространственные, сырьевые, энергетические, иные. Например, на орбите легко организовать мощную энергетику, в первую очередь необходимую для орбитальных индустриальных нужд — ведь с одного квадратного метра освещённой поверхности можно снять около 1 кВт мощности, взятой у природного термоядерного реактора — Солнца. Этот реактор горит бесперебойно вот уже пять миллиардов лет, и столько же ещё будет гореть без остановок, ремонтов и аварий.
При достаточном уровне развития техники, что обеспечит введение в строй ОТС и КИО "Орбита", добыча на астероидах таких элементов, как платина, кобальт и других редких минералов с последующей их доставкой на земную орбиту, может приносить очень большую прибыль. В ценах 1997 года сравнительно небольшой металлический астероид диаметром в 1,5 км содержал в себе различных металлов, в том числе драгоценных, на сумму 20 триллионов долларов США. Фактически, всё золото, кобальт, железо, марганец, молибден, никель, осмий, палладий, платина, рений, родий и рутений, которые сейчас добываются из верхних слоёв земной коры, являются остатками астероидов, упавших на Землю во время ранней метеоритной бомбардировки, когда после остывания коры на планету обрушилось огромное количество астероидного материала. Из-за большой массы более 4 млрд лет назад на Земле начала происходить дифференциация недр, в результате чего большинство тяжёлых элементов под действием гравитации опустилось к ядру планеты, поэтому кора оказалась обеднённой тяжёлыми элементами. А на большинстве астероидов из-за незначительной массы никогда не происходила дифференциация недр и все химические элементы распределены в них более равномерно.
В 2004 году мировое производство железной руды превысило 1 млрд тонн. Для сравнения, один небольшой астероид класса M диаметром в 1 км может содержать до 2 млрд тонн железо-никелевой руды, что в 2 раза превышает добычу руды в 2004 году. Самый крупный известный металлический астероид (16) Психея содержит 1,7×1016 тонн железо-никелевой руды, что в 100 тысяч раз превышает запасы этой руды в земной коре. Этого количества хватило бы для обеспечения потребностей населения земного шара в течение нескольких миллионов лет, даже с учётом дальнейшего увеличения спроса. Небольшая часть извлечённого материала может также содержать драгоценные металлы.
На земную орбиту постепенно переместятся с Земли, вернее — вновь будут созданы промышленные производства, научные лаборатории, заводы, фабрики, цеха, в первую очередь — в энергетике, машиностроении, металлургии и химии.
Жилой сектор
Основу жилого сектора "Орбиты" составят многофункциональные кластеры "ЭкоКосмоДом", в которых могут работать и жить до 10 000 человек в каждом.
Для комфортного проживания в космосе людей необходимы условия, эквивалентные и даже превосходящие по качеству земные. К этим условиям относятся:
Комфортная гравитация
Гравитацию на орбите можно смоделировать центробежными силами. При этом не исключено, что наиболее комфортной будет пониженная гравитация, порядка той, что на Луне или Марсе, например, с ускорением свободного падения 2 м/с2, то есть в 5 раз ниже, чем на Земле. Тогда взрослый человек весил бы порядка 15 кг, мог бы легко запрыгнуть на крышу дома и летать как птица, если снабдить его крыльями.
Комфортная атмосфера — по давлению, составу, влажности и температуре
а) Давление в атмосфере космического дома.
Не исключено, что на орбите комфортным будет давление, как на Земле в горах, например, в два раза ниже атмосферного давления, то есть 0,5 кгс/см2, или пять тонн на квадратный метр. Снижение давления в два раза снизит в два раза нагрузки на оболочку космического дома, обусловленную давлением атмосферы внутри него.
b) Состав атмосферы.
Чтобы не было кислородного голодания, содержание кислорода можно увеличить вдвое, например, до 40%(Содержание кислорода должно быть ограничено верхней планкой, при которой может происходить самовозгорание различных горючих веществ, той же древесины), если атмосферное давление будет снижено в сравнении с земным в два раза. Содержание других газов (азота, аргона, неона, углекислого газа и др.) может быть также оптимизировано.
c) Влажность воздуха.
Поскольку наш организм, как, впрочем, животные и растения, получает влагу не только с продуктами питания, но и из воздуха, то влажность атмосферы в космическом доме может быть в течение суток и круглый год (Понятие года на орбите теряет смысл, как и понятие суток. Поэтому в ЭкоКосмоДоме и сутки и год могут иметь оптимальную продолжительность, отличающуюся, соответственно, от 24 часов и 365 суток. Например, для большинства современных городских жителей 24-часовой биоритм является навязанным и насильственным, доказательством чему служит регулярное использование будильника) оптимальной, например, равной 55%.
d) Температура воздуха.
Воздух в космическом доме может иметь весь год оптимальную температуру, например, равную +21 °С.
Комфортная среда обитания (проживания) человека
В космическом доме должна быть полностью смоделирована биосфера планеты — колыбели человека с историей эволюции, насчитывающей миллиарды лет, в том числе — предшествующей человеку. Здесь должна быть представлена, во всём их разнообразии, флора и фауна нашей колыбели, куда мы уходим своими корнями (Например, в нашей крови шумит древний океан — её минеральный состав полностью соответствует составу его воды), в том числе микрофлора и микрофауна — почвенный биогеоценоз с тысячами видов микроорганизмов (Например, в килограмме здоровой плодородной почвы проживает порядка триллиона почвенных микроорганизмов нескольких тысяч видов — все они необходимы для существования флоры и фауны в земной биосфере, в том числе — человека. Поэтому плодородная почва на планете является иммунной системой биосферы и залогом её здоровья. Когда на планете будет убита живая плодородная почва и будет замещена мёртвой почвой, пропитанной гербицидами и пестицидами и обильно политой минеральными удобрениями, это будет начало конца земной биосферы — той, которую мы все знаем и частью которой мы являемся. Тогда, например, легко может возникнуть пандемия, способная в течение буквально нескольких суток убить всех людей — ни двухсотметровая яхта, ни Боинг с противоракетной обороной, ни свой островок в океане никому не помогут выжить). Без здоровой (живой) плодородной почвы в ЭкоКосмоДоме невозможно будет создать комфортные условия для проживания человека, который возомнил себя царём природы, а на самом деле является всего лишь маленькой составляющей (Например, иммунной системой человека является микрофлора и микрофауна его кишечника, которая, в основном, является почвенной. Там живут триллионы микроорганизмов тысяч видов. Они денно и нощно трудятся — кормят и поят нас и даже ... лечат. Не зря многие специалисты считают содержимое кишечника нашим вторым мозгом. А почему почвенные? Мы просто забыли о том, что мы все вышли из земли, и туда же уйдём) биосферы планеты Земля. Даже менее значимой для неё, чем плесень.
Биосфера космического дома должна постоянно производить кислород, необходимый для дыхания проживающих там людей и животных, производить здоровую пищу и утилизировать в гумус все отходы жизнедеятельности живых организмов, в том числе и человека.
Защита от метеоритов и радиации
В космосе, как и на околоземной орбите, существует метеоритная и радиационная опасность, защиту от которых существующие орбитальные станции в полной мере не обеспечивают. Например, капля воды при скорости 20 км/с способна пробить танковую броню, а космическая радиация за несколько дней способна убить человека, так как её уровень значительно выше, чем на аварийной Чернобыльской АЭС. От обеих этих опасностей наиболее эффективными являются не сверхпрочные тонкостенные экраны, а толстые многослойные преграды, в качестве которых могут выступать и пеноматериалы, и многометровый слой почвы, находящейся внутри космического экодома, а также вода и воздух.
Составные элементы ЭкоКосмоДома
Конструктивная часть космического жилого кластера представляет собой, как наиболее оптимальный вариант, пустотелую сферу (или цилиндр, или тор — см. рисунок 10) диаметром 200—500 метров, раскрученную вокруг своей оси. Несущая оболочка сферы выполнена из высокопрочных материалов и является самой нематериалоёмкой частью такого дома. Например, если выполнить её из композитных материалов, выпускаемых промышленностью уже сегодня, толщина несущей стенки такого огромного сооружения будет равна всего ... трём миллиметрам. Самой материалоёмкой частью сферического дома будет противометеоритная и противорадиационная защита, а также слой почвы, — их суммарная толщина будет достигать нескольких метров.
На внутренней поверхности сферы насыпан слой живой плодородной почвы и посажены леса, сады, луга со своими биогеоценозами. Имеются водоёмы с пресной и морской водой со своими экосистемами. Часть сферы, приближающейся к оси вращения сферы, выполнена с горными пейзажами, с ручьями и водопадами и своими предгорными экосистемами. Воздух в космическом доме наполнен запахами цветов и полезными фитонцидами, благоприятное действие которых на организм человека не идёт в сравнение ни с какими лекарствами. Шума нет, кроме пения птиц и шороха листвы деревьев.

Рисунок 10. Конструкция космического индустриального ожерелья "Орбита"
с находящимися на нём тороидальными "ЭкоКосмоДомами" (вариант)
Ориентировочное количество материалов, необходимых для сооружения на орбите космического дома на 5 тыс. человек составит 400 тыс. тонн, в том числе:
- несущая оболочка — 1 тыс. тонн;
- противорадиационная и противометеоритная защита — 90 тыс. тонн;
- плодородная живая почва (экочернозём) — 160 тыс. тонн;
- вода (пресная и морская) — 70 тыс. тонн;
- воздух — 5 тыс. тонн;
- строительные материалы и конструкции, в том числе для жилищ внутри космического дома — 15 тыс. тонн
- прочее — 59 тыс. тонн.
Доставка всех материалов на орбиту для одного ЭкоКосмоДома с помощью ОТС обойдётся примерно в 500 млн долларов, стоимость материалов и веществ для него обойдётся примерно в эту же сумму — 500 млн долларов, монтажные работы на орбите будут стоить примерно 1 млрд долларов. Таким образом, космическое поселение на орбите, в котором смогут жить и работать до 5 тыс. человек, обойдётся примерно в 2 млрд долларов, что будет почти на два порядка дешевле Международной космической станции (Международная космическая станция — бесспорный лидер по стоимости (но далеко неоднозначный по значимости и результату) космический проект. Цена создания и поддержания станции в работоспособном состоянии, по примерным подсчётам экспертов, уже приближается или даже превысила 150 млрд долларов. Подробнее на РБК). То есть на те деньги, которые затратило сегодня человечество на возможность нахождения на орбите до десятка астронавтов, в очень некомфортных и опасных для жизни условиях, с помощью ОТС можно будет построить 75 космических поселений на 375 тыс. жителей, которые будут жить и работать в значительно более комфортных условиях, чем на Земле.
4.5. Себестоимость геокосмических перевозок ОТС
Себестоимость геокосмических перевозок Общепланетарным транспортным средством по маршруту "Земля — Орбита" и "Орбита — Земля" складывается из трёх основных составляющих:
- Затраты электрической энергии на работу всех бортовых систем ОТС, в первую очередь — линейных электродвигателей и систем магнитного подвешивания линейных маховиков (роторов), на что уходит более 95% энергии;
- Заработная плата обслуживающего персонала с налогами и отчислениями;
- Амортизационные отчисления не только на ОТС, но и на обслуживающий его наземный транспортно-инфраструктурный комплекс SkyWay.
Затраты электрической энергии
Первоначальный запас энергии, необходимой для подъёма ОТС общей массой 40 млн тонн в космос и возвращение обратно на землю уже без полезной нагрузки, общей массой 10 млн. тонн, оставленной на орбите, — 4,2×1011 кВт×час.
Для работы ОТС целесообразнее всего иметь собственные электростанции общей мощностью порядка 100 миллионов киловатт, тогда электрическая энергия может распределяться внутри системы по себестоимости — порядка 5 центов/кВт×час. Кроме того, дополнительную энергию можно брать из сети стран, по территории которых проходит эстакада ОТС, только ночью, так как ночные тарифы ниже дневных в 2—2,5 раза, при том, что средневзвешенная стоимость продажи электрической энергии в мире сегодня составляет 8,2 цента/кВт×час (Сравнение стоимости электроэнергии по странам — см.: http://www.vrx.ru/treasury/346.html).
Удельная стоимость Е0 энергии на первый запуск ОТС (Первый запуск ОТС потребует первоначальной раскрутки маховиков до космических скоростей в своих вакуумных каналах, то есть необходима будет первоначальная "заправка" кинетической энергией, которая, в последующем, никогда не должна снижаться, а только — пополняться) составит 420 000 000 000 кВт×час × 0,05 USD/кВт×час = 21 000 000 000 USD (при общей массе полезной нагрузки, равной 10 млн тонн), или
Е0 = 2 100 USD/т.
При последующих запусках, когда будет преобладать односторонний грузопоток "Земля — Космос", так как космическая индустрия будет только ещё создаваться, а готовая продукция, которую необходимо будет доставлять обратно на Землю, будет практически отсутствовать, будут необходимы затраты энергии только на разницу грузопотоков на орбиту и обратно на землю. Поэтому при односторонних рейсах в течение первого года функционирования, когда космическая индустрия будет только создаваться, необходимо будет компенсировать в каждом рейсе только затраты энергии на доставляемый в космос груз, масса которого (коэффициент полезной загрузки (У ракет-носителей этот показатель менее 5%)) составляет 25% от массы-брутто ОТС: kгр = 10 000 000 т / 40 000 000 т = 0,25. Таким образом, в этот период времени функционирования ОТС (в первый год), доставка одной тонны груза на орбиту потребует затрат энергии стоимостью:
Е1 = 2 100 USD/т × 0,25 = 525 USD/т.
При этом однажды разогнанные маховики могут вращаться внутри вакуумных каналов годами, так как магнитная подушка на постоянных магнитах, как и вакуум, не будут создавать сопротивление при их движении с космическими скоростями.
При равных грузопотоках "Земля — Орбита" и "Орбита — Земля", что установится примерно на 7—8-й год функционирования ОТС, дополнительная энергия необходима будет только на компенсацию потерь в линейных электродвигателях маховиков (При отсутствии потерь (при КПД линейных электродвигателей и магнитной подушки маховиков, равных 100%) и при равных грузопотоках в Космос и на Землю, ОТС сможет работать в режиме "вечного двигателя": оно может взлетать в космос и садиться обратно на землю без подвода энергии извне. А если грузопоток из Космоса превысит грузопоток с Земли, то ОТС сможет работать в качестве гигантской электростанции, в которой доставка одной избыточной тонны груза на Землю эквивалентна по энергоэффективности двум тоннам нефти). Если суммарные потери энергии внутри системы ОТС составят 10%, то стоимость энергии по доставке тонны груза на орбиту в данном случае (и, соответственно, на спуск тонны груза на поверхность планеты) составит:
Е2 = 2 100 USD/т × 0,1 = 210 USD/т.
После того, как космическая индустрия заработает на полную мощность и начнётся освоение астероидов и Луны, как источников сырья, потребность доставки сырья с Земли значительно снизится. При этом обратный грузопоток с орбиты на планету будет значительно превышать прямой, так как основная часть промышленной продукции для землян будет доставляться из космоса. Если космической промышленной продукции, более высокого качества, чем нынешняя, будет производиться в будущем на душу населения даже на порядок меньше, чем сегодня на планете, то ежегодный объём перевозок по маршруту "Орбита — Земля" достигнет через 10 лет функционирования ОТС объёмов в 500 млн тонн, что потребует 50 выходов на орбиту (примерно один раз в неделю). При этом ОТС будет меньше выводить полезной нагрузки на орбиту (он будет делать туда рейс, загруженный примерно только на 20%), в основном он будет подниматься в космос за произведённой там продукцией, чтобы доставить её на планету потребителям — к тому времени примерно 10 млрд землян. Это позволит преобразовывать потенциальную и кинетическую энергию космического груза, доставляемого на Землю, в электричество и ежегодно отдавать в энергосистему планеты энергию, эквивалентную 1 млрд тонн нефти. На этом и последующих этапах затраты энергии будут иметь отрицательное значение, и ОТС будет работать в режиме электростанции, приносящей прибыль в размере: 500 000 000 т/год × 8000 кВт×час/т × 0,05 USD/кВт×час = 200 000 000 000 USD/год, или, в чистом виде, 400 USD на каждую избыточную тонну груза, доставленного с орбиты на Землю.
При этом часть энергии будет тратиться на собственные нужды ОТС (примерно половина), поэтому каждая тонна избыточного груза, доставленная на планету из космоса, даст чистую энергетическую прибыль в размере:
Е3 = 200 USD/т.
Заработная плата обслуживающего персонала
Хотя ОТС и экваториальная стартовая эстакада с системой SkyWay будут работать в автоматическом режиме, они потребуют обслуживающего персонала в количестве порядка 200 тысяч человек (или 5 человек на 1 км длины). При средней заработной плате одного сотрудника, вместе с налогами, равной 50 000 USD/год, годовые затраты по зарплате составят 10 000 000 000 USD.
Амортизационные отчисления
Амортизационные отчисления в проекте складываются из затрат на восстановление ОТС и на восстановление экваториальной стартовой эстакады ОТС, совмещённой с трассами SkyWay:
Саморт. = Сотс + Сsw = 7,5 USD/т + 13,2 USD/т = 20,7 USD/т.
Обоснование этих затрат дано ниже.
Амортизационные отчисления по ОТС
Капитальные затраты на создание (проектирование и строительство) ОТС можно оценить по аналогии с современными и перспективными электромобилями, в которых основная часть стоимости приходится на электрооборудование. По сложности оборудования и составу комплектующих ОТС примерно эквивалентен электромобилю (даже будет несколько проще) и будет примерно столько же стоить, в пересчёте на стоимость одной тонны конструкции, — не более 25 000 USD/т (См. "4 лучших электромобиля китайского производства" по ссылке: http://www.chinamodern.ru/?p=18182). Поскольку масса снаряжённого ОТС (без полезной нагрузки) составит 30 млн тонн, то его стоимость будет равна: 30 000 000 т × 25 000 USD/т = 750 000 000 000 USD.
ОТС рассчитан примерно на 10 000 запусков (Примерно столько же взлётов и посадок осуществляет за срок службы современный авиалайнер) в космос и обратных посадок. За это время он перевезёт 100 млрд тонн грузов. Тогда амортизационные отчисления на 1 тонну груза от капитальных вложений в ОТС составят:
Саморт. = 750 000 000 000 USD / 100 000 000 000 т = 7,5 USD/т
Амортизационные отчисления по экваториальной стартовой эстакаде ОТС, совмещённой с трассами SkyWay
Протяжённость экваториального эстакадного комплекса ОТС составит 40 076 км, из них примерно 20% придётся на сухопутные участки и 80% — на морские.
Поскольку ОТС должно не просто выходить в космос, но, в первую очередь выводить на орбиту полезную нагрузку — пассажиров и разнообразные грузы, — то вдоль него на планете и в космосе должны быть выполнены транспортно-инфраструктурные комплексы со своей высокоскоростной транспортной логистикой(В основном, для перемещения пассажиров и грузов вдоль ОТС, в том числе на морских участках, которые занимают около 80% длины эстакады), а также промышленной, энергетической, информационной и жилой инфраструктурой.
Поэтому стартовая эстакада ОТС, размещённая по экватору, будет представлять из себя транспортно-инфраструктурный коммуникатор SkyWay, включающий:
1) высокоскоростную трассу (на третьем уровне, скорость до 600 км/час);
2) городскую трассу (на втором уровне, скорость до 200 км/час);
3) гиперскоростную трассу в форвакуумном канале (под водой или под землёй, скорость до 1250 км/час).
В эстакаду SkyWay будут также интегрированы линии электропередач (4-ая составляющая коммуникатора) и линии связи (5-ая составляющая). Будут построены собственные электростанции, промышленные и жилые комплексы. Более того, вдоль эстакады будет построен линейный пешеходный город кластерного типа, в котором будут жить и работать миллионы человек.
Стоимость транспортно-коммуникационной части экваториального SkyWay, построенного по принципу "5 в 1" (Имеется в виду: 1) высокоскоростная трасса; 2) городская трасса; 3) гиперскоростная трасса; 4) линии электропередач; 5) линии связи), можно оценить в размере 1320 млрд USD, исходя из того, что, в среднем, он будет стоить 25 млн USD/км на сухопутных участках и 35 млн USD/км — на морских участках.
Как уже отмечалось ранее, ОТС рассчитан примерно на 10 000 запусков в космос и обратных посадок. За это время он перевезёт 100 млрд тонн грузов. Тогда амортизационные отчисления на 1 тонну груза от капитальных вложений в транспортно-коммуникационную часть экваториального SkyWay составят:
Сsw = 1 320 000 000 000 USD/ 100 000 000 000 т = 13,2 USD/т.
Таблица 2. Себестоимость геокосмических перевозок по годам эксплуатации ОТС

Анализ данных, приведённых в таблице выше, позволяет сделать следующие выводы:
- Самая высокая себестоимость геокосмических перевозок — 700 USD/т — в первый год эксплуатации, обусловлена необходимостью первоначальной раскрутки маховиков и значительных затрат энергии на это, а также — относительно малым объёмом годовых перевозок.
- С годами, по мере роста объёма перевозок, как прямых, так и обратных, их себестоимость существенно снижается.
- На 9-ом году эксплуатации, когда обратный грузопоток (с орбиты на планету) существенно превысит прямой грузопоток (с планеты на орбиту), себестоимость перевозок станет отрицательной. Это означает, что геокосмический комплекс ОТС станет приносить прибыль не как транспорт, а как гигантская линейная кинетическая электростанция протяжённостью более 40 тыс. километров, имеющая ленточные маховики общей массой 20 млн тонн, которые будут способны рекуперировать потенциальную и кинетическую энергию космического груза в электрическую энергию.
4.6. Экономический эффект от использования ОТС
Экономический эффект от использования ОТС для геокосмических перевозок на трассе "Земля — Орбита — Земля" определяется разностью стоимости перевозок существующими ракетами-носителями и ОТС. Эта разница, по оценке автора, составляет около 10 млн USD/т, как отмечено выше, — по самым низким средневзвешенным ценам доставки грузов на орбиту ракетами.
Таким образом, в первый же год эксплуатации ОТС, когда на орбиту будет выведено порядка 100 млн тонн грузов, экономический эффект составит 1000 триллионов USD (при экономии на доставке каждой тонны груза на орбиту 10 млн USD, как обосновано выше). С годами этот эффект будет только расти. Данные расчёты учитывают только материальную составляющую производства и доставки продукции.
Если привести экономический эффект, полученный через 20 лет, к нынешней стоимости денег во времени с годовым дисконтом 25%, то снижение эффекта будет в 86,7 раз, то есть годовой экономический эффект в 1 000 трлн USD будет "весить" сегодня только 11,5 трлн USD.
Эффект же от улучшения качества жизни на Земле, улучшения экологической обстановки в земной биосфере в целом, создания условий неограниченного развития человечества в будущем с переходом на космический этап развития — невозможно оценить с финансовой точки зрения.
5. Информация об авторе оцениваемого объекта интеллектуальной собственности
![]() | Юницкий Анатолий Эдуардович:
Награды:
|



